DOCUMENTARIES
INTERVIEWS
Dr-Phil-Interview-Part-1-Transcript
Dr-Phil-Interview-Part-2-Transcript
Dr-Phil-Interview-Part-3-Transcript
TRIAL ARCHIVE
DOCUMENTS
Casey-Anthony-Leaked-Jailhouse-Letters
Casey-Anthony-7-16-08-Written-Statement
Casey-Anthony-Investigation-Evidence
Casey-Anthony-OCSO-Investigative-Report
Casey-Anthony-7-16-08-Transcript
Anthony-Lazzaro-7-22-08-Transcript
Lee-Anthony-7-29-08-Transcript
Anthony-Lazzaro-9-8-08-Transcript
Casey-Anthony-Casey-Anthony-10-14-08-Transcript
Casey-Anthony-Various Documents
Synopsis-of-Evidence-Against-Casey-Anthony
TRIAL DOCUMENTS
June-24-2011-Sidebar-Transcript
June-25-2011-Motion-To-Determine-Competency-To-Proceed
NEWS ARTICLES
Tags: #CaseyAnthony #CayleeAnthony
2017
[May 8] Who is Celebrity Private Detective That She Lives With?
[May 4] DAILY NEWS: Casey Anthony spotted with baby at booze-filled lunch
[April 18] Casey Anthony [3 Part Series] Channel’s Biggest Hit
[March 9] AUDIO: AP Interview March 2017
[March 8] Casey Anthony Talks to AP about Caylee’s DeathCasey Anthony Talks to AP about Caylee’s Death
[March 8] Casey Anthony’s Dad: My Heart Hurts Even More Now
[March 7] Casey Anthony Breaks Her Silence: I Don’t Know What Happened
[March 6] AUDIO: Casey Speaks to the AP
[March 2] Judge: Casey Anthony may have killed her child by accident
[May 1] Page Six: How Casey’s Resurgence is Hurting Her Parents
2016
[Sept 14] Cheney Mason Says He Won’t Let Her Down
[July 5] Casey Anthony is ‘Bored’ 5 Years After Acquittal
[May 25] Casey Anthony’s Attorney Admits She Killed Daughter, PI says in Court Documents
[May 24] Broke Casey Anthony Traded Sex for Legal Payments, Claims Investigator
2015
2014
2013
2012
[Nov 16] Detectives Overlooked Google Search for “Fool-Proof” Suffocation Methods, Sheriff says
2011
[July 8] [Tony] Family Says He’s Moving On
[July 5] Case Captivates the Country
[June 22] Casey Anthony’s Parents on Today: ‘A lot of stuff doesn’t make sense’
[May 27] Trial: Car Trunk had Maggots and Smell of Death
[May 26] Trial: Casey Gloated About Lying, Was Sleeping with Two Men
[May 25] Trial: Former Boyfriend Describes Romance with Casey
[May 24] Trial: Defense Team Claims Caylee Anthony Drowned in Family Pool
[May 23] Trial: Is Evidence from Casey’s Car Enough?
[May 16] Jury Selection Continues
[May 14] Jury Selection Continues thru Weekend
[May 8] Jury Selection to Begin
[March 3] Casey’s Lawyer wants Babysitter Claim Banned From Murder Trial
[Jan 3] Lawyers Want Evidence Suppressed
2010
[July 15] Emotional Hearing Offers Glimpse of Trial to Come
2009
2008
TIMELINE EVIDENCE
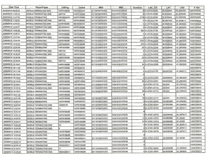
JUNE 16

PHONE #s: Casey: 407-619-9286, Anthony Lazzaro: 631-902-5443, Jesse Grund: 407-462-9293, Amy Huizenga: 954-328-9214
IMAGES
















































































































Cindy with Casey


































































































































Casey Anthony, mother of missing three-year-old Caylee Anthony, is escorted by her attorney Jose Baez to turn herself into jail for additional economic charges after meeting with her home confinement officer for other charges at the Orange County Jail Monday, Sept. 15, 2008. Anthony is on home confinement for charges relating to the disappearance of her daughter.


















































































A K9 officer with the Orang County Sheriff’s Dept walks back to his car after searching the back yard of Caylee Anthony’s grandparents house at 4937 Hopespring Dr. in Orlando on Thursday, July 17, 2008. Caylee’s mother Caylee Marie Anthony is being held on charges of suspicion of child neglect. (Jacob Langston/Orlando Sentinel)











Roy Kronk, a meter reader for Orange County, testifies during the Casey Anthony murder trial at the Orange County Courthouse, Tuesday, June 28, 2011, in Orlando, Fla. Anthony, 25, is charged with killing her daughter Caylee in the summer of 2008. (AP Photo/Red Huber, Pool) Original Filename: Casey Anthony Trial.JPEG-0d43d.jpg

























FILE- In this Aug. 21, 2008, file photo, Casey Anthony, mother of missing toddler Caylee, is escorted from the Orange County Florida jail by her attorney Jose Baez. Almost nine years later, Anthony spoke about the death of her daughter and said she does not know how the last hours of Caylee’s life unfolded. (AP Photo/Reinhold Matay, File)








Defendant Casey Anthony appears in court at the Pinellas County Criminal Justice Center, Tuesday, May 10, 2011, on the second day of jury selection in her trial, in Clearwater, Fla. Anthony is charged with first-degree murder in the death of 2-year-old daughter Caylee in the summer of 2008. Jury selection is being held outside Orlando because of intense media coverage. Anthony, 25, has pleaded not guilty and says a baby-sitter kidnapped Caylee. The trial is scheduled to begin May 17. (AP Photo/Joe Burbank, Pool)























































George and Cindy Anthony prepare to speak during the memorial for their granddaughter Caylee Marie Anthony at First Baptist Orlando in Orlando, Florida, Tuesday, February 10, 2009. Caylee Anthony was reported missing in June 2008 and her remains were found in December, less than a mile from her home. Her mother Casey Anthony is in custody on charges of first-degree murder of her child. (Red Huber/Orlando Sentinel/MCT) Newscom/(Mega Agency TagID: krtphotoslive342799.jpg) [Photo via Mega Agency]























ORLANDO, FL – JULY 17: People look on at the Caylee Anthony memorial that has been placed in the area where the 2-year-old child remains were found on July 17, 2011 in Orlando, Florida. Caylee’s mother Casey Anthony was acquitted of the charges that she murdered her daughter, Caylee, on July 5th and was released early this morning from jail. (Photo by Joe Raedle/Getty Images)














































Casey and Tony in the video store, June 16, 2008




















Defense attorney Jose Baez holds up photos during cross examination in the trial of Casey Anthony, Saturday, June 11, 2011, at the Orange County Courthouse, in Orlando, Fla. Anthony, 25, is charged with murder in the 2008 death of her daughter Caylee. (AP Photo/Joe Burbank, Pool)





July 16, 2008, Casey Anthony has been booked into the Orange County Jail and is being held without bail on charges of child neglect, filing false official information and obstructing an investigation.




























































